• About us
  • Contact us
  • Privacy Policy
  • Terms & Conditions
Top Stocks Insider
  • News
  • Economy
  • Editor’s Pick
  • Investing
  • Stock
No Result
View All Result
  • News
  • Economy
  • Editor’s Pick
  • Investing
  • Stock
No Result
View All Result
Top Stocks Insider
No Result
View All Result
Home Economy

Now we just wait for the comment from Desvousges, Mathews and Train

by
March 3, 2023
in Economy
0
Now we just wait for the comment from Desvousges, Mathews and Train
0
SHARES
25
VIEWS
Share on FacebookShare on Twitter

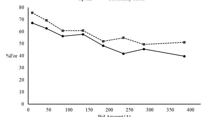
Yesterday I spent 2 hours revising a final version of this paper so that we can say it is “forthcoming” in Applied Economic Perspectives & Policy. Here is Figure 1:

Previous Post

Secession: Should the American Revolutionaries Have Quit to Appease the Loyalists?

Next Post

Once More unto the Veatch

Next Post
Once More unto the Veatch

Once More unto the Veatch

    Sign up for our newsletter to receive the latest insights, updates, and exclusive content straight to your inbox! Whether it's industry news, expert advice, or inspiring stories, we bring you valuable information that you won't find anywhere else. Stay connected with us!


    By opting in you agree to receive emails from us and our affiliates. Your information is secure and your privacy is protected.

    Disclaimer: TopStocksInsider.com, its managers, its employees, and assigns (collectively "The Company") do not make any guarantee or warranty about what is advertised above. Information provided by this website is for research purposes only and should not be considered as personalized financial advice. The Company is not affiliated with, nor does it receive compensation from, any specific security. The Company is not registered or licensed by any governing body in any jurisdiction to give investing advice or provide investment recommendation. Any investments recommended here should be taken into consideration only after consulting with your investment advisor and after reviewing the prospectus or financial statements of the company.

    • About us
    • Contact us
    • Privacy Policy
    • Terms & Conditions

    Copyright © 2025 topstocksinsider.com | All Rights Reserved

    No Result
    View All Result
    • News
    • Economy
    • Editor’s Pick
    • Investing
    • Stock

    Copyright © 2025 topstocksinsider.com | All Rights Reserved